Material Detail

Rotational Dynamics Web Assignment

Rotational Dynamics Web Assignment

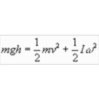
Web assignment on the relationship between the moment-of-inertia of an Atwood machine pulley and the motion of the hanging masses. Uses an embedded Java applet by Angel Franco Garcia for convenience.

Quality

More about this material

Comments

Log in to participate in the discussions or sign up if you are not already a MERLOT member.