Reading Apprenticeship Inspired Assignment or Lesson
Reading Apprenticeship Inspired Assignment or Lesson
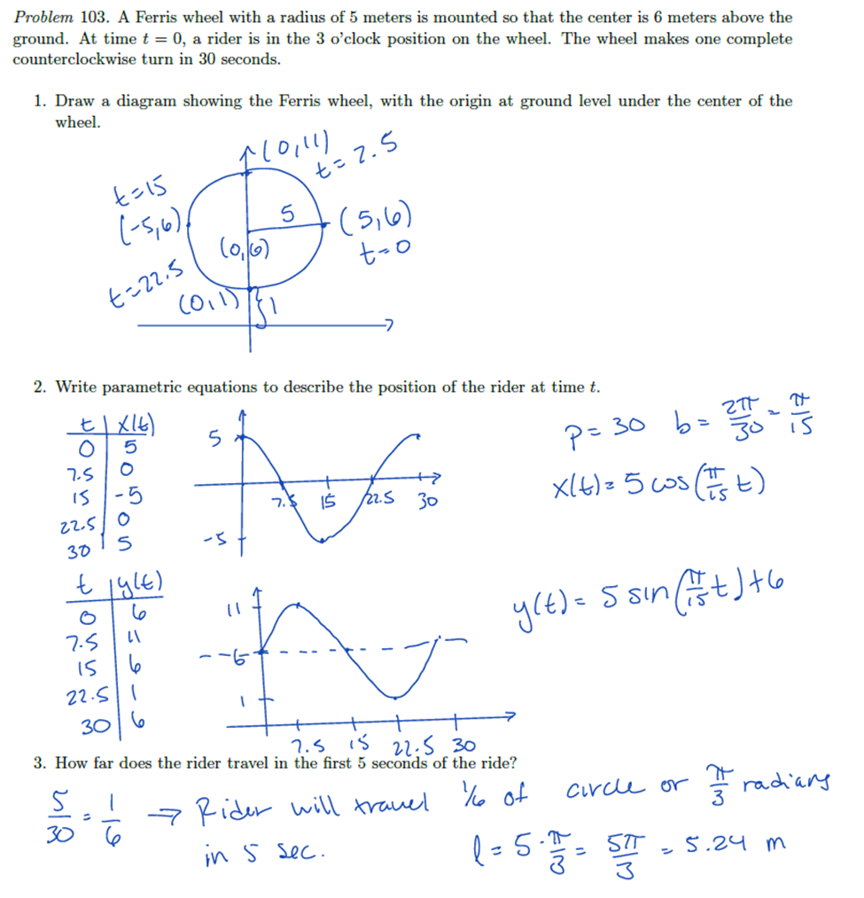
Trigonometric modeling problems can be complex, containing extensive details that require students to engage in multiple tasks such as sketching diagrams and writing and solving equations. When first presented with this type of problem, many students are not sure how to begin or how to extract and use the given information.
In Reading for Understanding (Greenleaf et al., 2023), teacher Dorothea Jordan provides two key observations that will guide this activity:
“Dorothea’s students never read mathematics problems without Talking to the Text to identify the key math words and symbols they need to understand in solving the problem. She has learned, however, to modify this routine to fit the structure of word problems, which often must be read all the way through before the actual problem begins to take shape.”
“Talking to the Text, which Dorothy has modified to include drawing and visual notetaking, has become a routine classroom practice.”
In order to be successful in solving trigonometric modeling problems, students will need to read the problem multiple times in order to find and use all the relevant information, and will need to translate this information into a diagram to aid the problem solving process.
Students have already learned how to write trigonometric equations from graphs and how to solve trigonometric equations. Additionally, they have learned how to write and interpret parametric equations for linear functions, and they will extend this understanding to trigonometric functions. To complete trigonometric modeling problems, students must combine all of these skills.
Since students already have all the relevant skills to be able to complete trigonometric modeling problems, I am interested in seeing the extent to which they can make sense of and complete this problem on their own, with minimal assistance from the instructor. If possible, I will try to keep track of which parts of the problem I am intervening with students and how often I am providing interventions.
In order for students to complete this activity, they must be able to identify and use relevant information contained in the problem statement as well as rely on several previously learned mathematical concepts. To accomplish this, students will need to read the problem statement multiple times. Students will use the three reads protocol, which gives students a specific goal in each rereading of the problem:
- First Read: Make sense of the context of the problem
- Second Read: Identify important quantities and organize information
- Third Read: Identify the question to be answered and create a solution plan
Students will have already previously used the three reads protocol, but will be reminded of the steps. For each step, students will work on their own first and then discuss with a partner.
The activity will start with a discussion of parametric equations since linear parametric equations were covered in the first week of class. The instructor will begin by asking students what they remember about parametric equations and giving them a few minutes to discuss at their tables. The instructor will then list student responses on the board. Depending on what students remember, the instructor can fill in missing information. If there isn't much discussion, the instructor can project p. 1185 of Precalculus, Stitz & Zeager for students to read and then collect important facts about parametric equations on the board.
We will then move on to trigonometric modeling. Students will use the three reads protocol to create a diagram with the important information labeled. After the diagram has been created, students will be reminded of how we create parametric equations for linear functions, a process which they will need to extend to trigonometric parametric equations.
Lastly, students will use their parametric equations to answer several questions about the given context.
The course workbook section students will be working from in this lesson can be found here.
An example problem with solution is shown below.



